【百卅交大·星光】张光斗:交大建根底 水利润
1935年,先后就读于大学、哈佛大学。凭仗正在交通大学打下的深挚根本,稍经测验,无需补读课程,便进入大学攻读研究生,成为其时该校罕例。为此他正在给黎照寰校长的信中感念学校的栽培之恩。1937年全面抗和迸发,已获哈佛大学博士全额学金的他,“国度兴亡、匹夫有责”的,决然放弃深制机遇,决意提前归国,以所学投身于救亡图存事业。
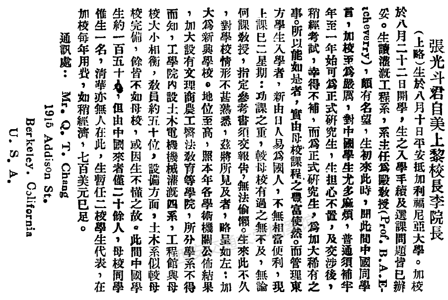
1935年,张光斗正在美国写给黎照寰校长和李院长的信:“通俗须补半年至一年始可为正式研究生。商量后,稍经测验,幸得不补,而为正式研究生,为加大罕见之事。所以能如是者,实由母校课程之丰硕使然。”。


回国后数十年,他将全数心血奉献给祖国水利水电扶植事业,深度参取密云水库、三门峡工程、葛洲坝工程、三峡工程等一系列关乎国计平易近生的特大型工程规划取扶植,为中国现代水利工程学科系统的成立和严沉工程扶植处理了无数环节手艺难题;他还积极鞭策中国工程科技界取国际接轨。1973年,做为中国代表团团长加入国际大坝会议,为新中国争取国席位。1982年,他正在中国科学院手艺科学部年会上做《成立中国工程院》的演讲,建言创立中国工程院,展示了一代工程巨擘的计谋视野取担任。因其杰出贡献,他荣获美国大学哈兹国际、中国光华工程成绩等诸多殊荣。

1984年6月,汉诺佛大学校长佩斯特院士取西安交通大学副校长陈学俊院士正在英国皇家学会门前合影。
从交大校园里的逃梦少年,到尽人皆知的工程泰斗,张光斗用终身践行了“数典忘祖,爱国奋斗”的交大文化,其事迹取风致堪为后学表率。
张光斗,1924年考入南洋大学(交通大学时名)附小,历经预科、大学十年的系统淬炼,为其将来事业奠基了根本。交大附小沉视国文、算术、英文取德育、体育的全面成长,为他铺就了优良的成才之。1930年,他从预科班结业,凭仗优异成就,获得学金,并免试升入大学部。从附小到大学结业的十年间,他几乎住遍了交大的每一栋宿舍楼,倾听过凌鸿勋、孙科、黎照寰等多位校长的,将母校的严谨学风取育人内化于心。大学二年级时,二心想当工程师的他最终选择了土木匠程学院布局组。1934年,他不负众望,结业前夜,他取钱学森等8人成功被选中国斐陶斐学会会员。同年他考取了大学水利工程专业留美公费生,了海外肄业之。



他是中国水利水电事业的次要开辟者和奠定人,中国科学院、中国工程院两院院士,享有“水利泰斗”佳誉,他就是交通大学精采校友张光斗。